[切换手机版]
2026年1月8日,汕头市档案馆管理部主任蔡慕娟一行三人赴广东省档案异地异质联合备份中心,顺利完成本馆一批重要档案数据的异地备份移交工作。此次备份任务的圆满完成,不仅是省市两地档案部门间一次高效、顺畅的业务协同,更是对备份中心常态化运行与服务保障能力的又一次成功检验。...
信息来源:广东省档案馆
发表时间:2026-01-08
(数据调整中,待更新)... [详细内容]
广东省档案馆成立于1958年11月,2018年10月机构改革后明确为省委直属正厅级事业单位,参公管理。内设办公室、接收保管部、征集整理部、声像部、利用服务部、资政编研部、技术部、机关党委(人事部)等8个正处级机构。 现馆大楼于2004年建成投入使用,建筑面积38468平方米,获得了中国土木工程詹天佑奖。2017年成功入选全国首批2家区域性国家重点档案保护中心。2024年建成全省档案异地异质备份中心(2025年国家电子档案备份中心... [详细内容]
公共下载 更多》
《广州市市政公报》是中国最早出版的市政公报之一,创刊于1921年2月28日。其发展可分为三个时期:一是1921年广州市市政厅设立至1938年10月广州沦陷;二是1939年底伪广州市公署成立至1945年抗战胜利;三是1946年广州光复后至1948年解放战争后期。广州的市政公报先后共出版600余期,其中包括日占时期伪政权刊印的公报40余期。该刊系统地刊登有关民国时期广州市政组织、规划、建设、管理、财...
信息来源:广东省档案馆 发表时间:2023-07-11
...
信息来源:广东省档案馆 发表时间:2025-06-11
征集调查 更多》
咨询列表 更多》
当前位置:首页 > 档案信息资源查阅系统 > 开放档案查阅系统
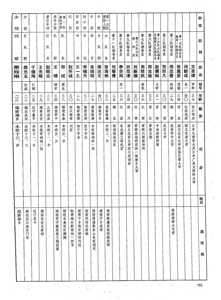
成文日期: 1938年第十六期 档号: G2013-黄埔军校-35648
【关闭本页】 【返回顶部】 【打印页面】
中国政府网 国家档案局 中国档案资讯网 广东省人民政府门户网站 学习强国 南方网 新快网 广东台触电新闻微博
广东省数字档案馆 互联网信息门户系统
版权所有:广东省档案馆
信息产业部网站信息备案序号:粤ICP备05069506号 制作维护:东软集团股份有限公司
联系我们| 公共下载| 网站地图