[切换手机版]
广东省档案馆李军晓馆长为捐赠者松野诚也教授颁发档案捐赠证书...
信息来源:广东省档案馆
发表时间:2025-03-26
(数据调整中,待更新)... [详细内容]
广东省档案馆成立于1958年11月,2018年10月机构改革后明确为省委直属正厅级事业单位,参公管理。内设办公室、接收保管部、征集整理部、声像部、利用服务部、资政编研部、技术部、机关党委(人事部)等8个正处级机构。 现馆大楼于2004年建成投入使用,建筑面积38468平方米,获得了中国土木工程詹天佑奖。2017年成功入选全国首批2家区域性国家重点档案保护中心。2024年建成全省档案异地异质备份中心(2025年国家电子档案备份中心... [详细内容]
欢迎您光临广东省档案馆查阅利用档案文件!■馆址:广东省广州市天河区龙口中路128号广东省档案馆。■邮政编号:510630■查档服务热线:(020)38749056,38749035■传真号码:38749017■电子邮箱:gdda@gd.gov.cn■查阅服务时间:周一至周五:8:30—12:00,14:00—17:00。节假日可预约查询。星期三、四 ,12:00-14:00,省直机关志愿服务岗■展览参观时间:周一至周五:9:00—12:00,14:00—17:00。重要展览节假日展出时间另行公告。■公众开放日对外接待时间:每月第二个星期五:9:00—11:30,14:30—16:30■办公时... [详细内容]
公共下载 更多》
《广州市市政公报》是中国最早出版的市政公报之一,创刊于1921年2月28日。其发展可分为三个时期:一是1921年广州市市政厅设立至1938年10月广州沦陷;二是1939年底伪广州市公署成立至1945年抗战胜利;三是1946年广州光复后至1948年解放战争后期。广州的市政公报先后共出版600余期,其中包括日占时期伪政权刊印的公报40余期。该刊系统地刊登有关民国时期广州市政组织、规划、建设、管理、财...
信息来源:广东省档案馆 发表时间:2023-07-11
...
信息来源:广东省档案馆 发表时间:2025-06-11
征集调查 更多》
咨询列表 更多》
当前位置:首页 > 档案信息资源查阅系统 > 开放档案查阅系统
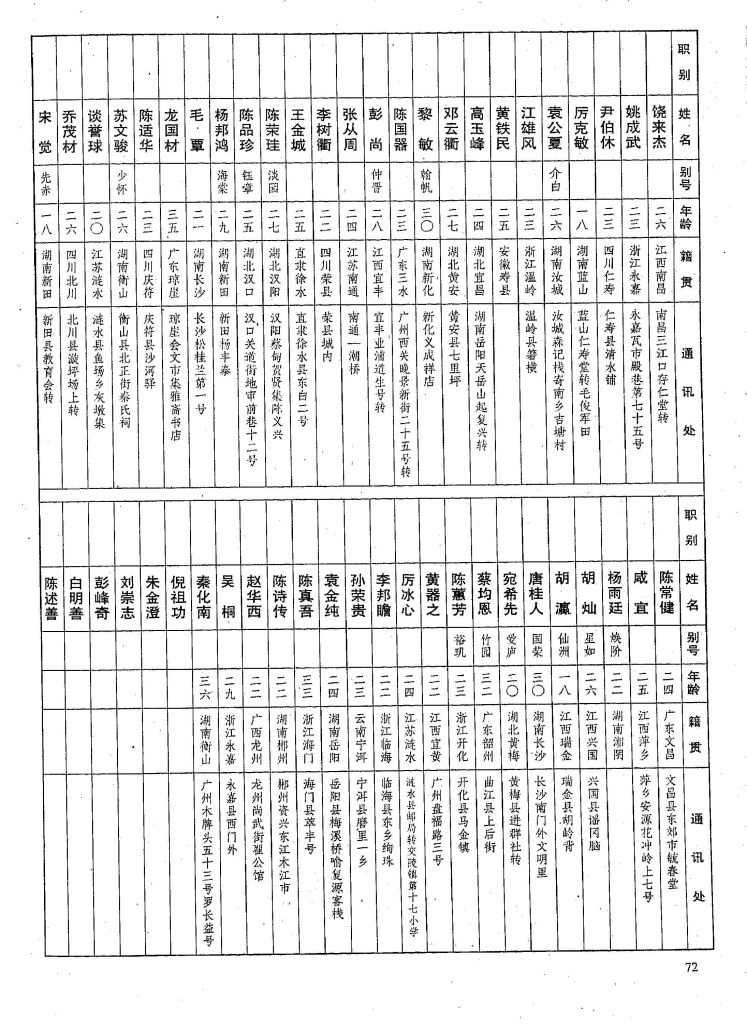
成文日期: 1926年第四期 档号: G2013-黄埔军校-03031
【关闭本页】 【返回顶部】 【打印页面】
中国政府网 国家档案局 中国档案资讯网 广东省人民政府门户网站 学习强国 南方网 新快网 广东台触电新闻微博
广东省数字档案馆 互联网信息门户系统
版权所有:广东省档案馆
信息产业部网站信息备案序号:粤ICP备05069506号 制作维护:东软集团股份有限公司
联系我们| 公共下载| 网站地图