档案详情
吕保赤
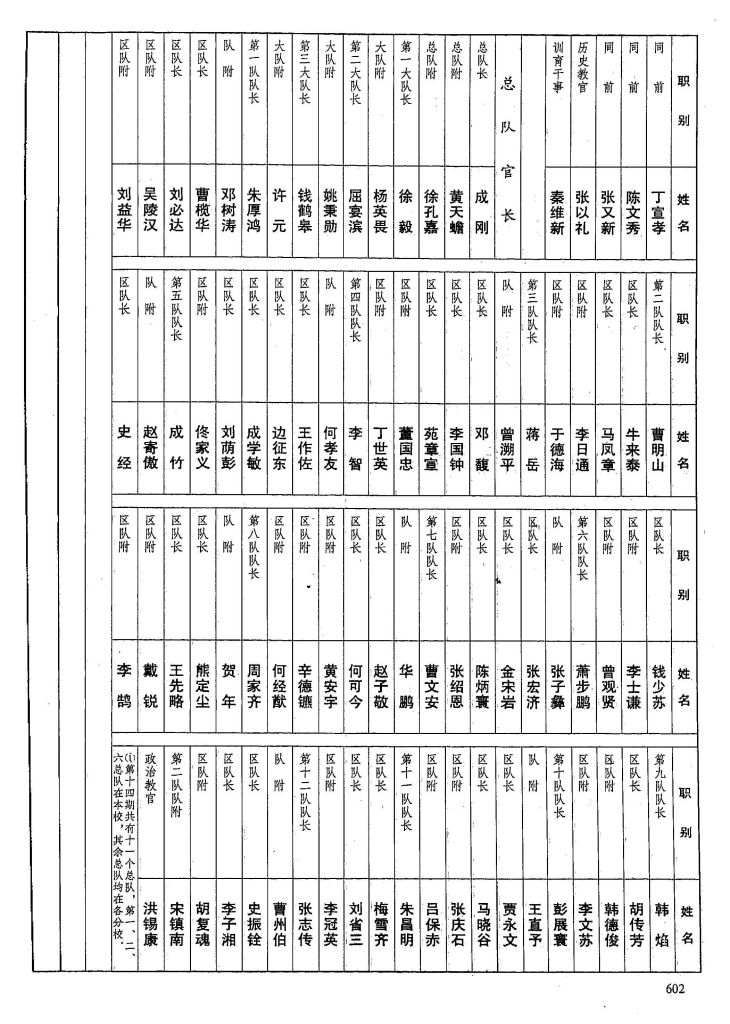
成文日期: 1937年第十四期
档号: G2013-黄埔军校-27042
G2013-黄埔军校-27042-01.jpg
首页
新闻动态
公众参与
网上办事大厅
档案局办事窗口