档案详情
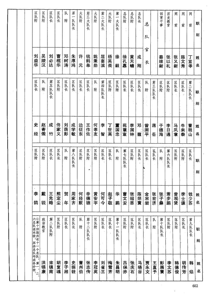
周家齐
成文日期: 1937年第十四期
档号: G2013-黄埔军校-27027
G2013-黄埔军校-27027-01.jpg
首页
新闻动态
公众参与
网上办事大厅
档案局办事窗口